| zurück Home | Anthrazykline | ![]() |
||
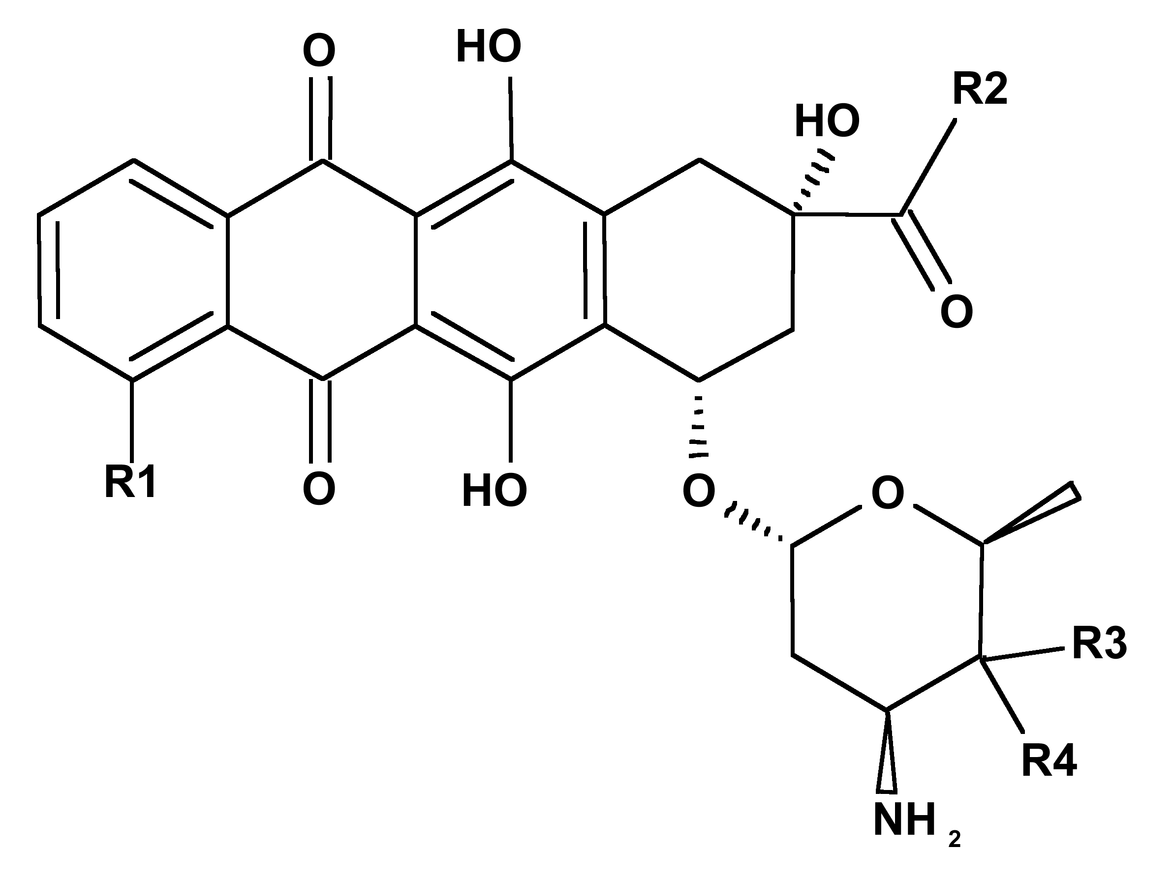
| allgemeines | Topoisomerase II - IH. Kumulative Kardiotoxizität. | |||
| Wirkung | ||||
| Doxorubicin | pegyliertes Doxo. | NPDL: nonpegyliertes liposomales Doxo. | ||
| Daunorubicin | ||||
| Epirubicin | ||||
| Idarubicin | ||||
| Anthracenedione | Mitoxantron | |||
| Pixantron | Trajenta® | 3. Linie bei aggressivem NHL | ||
| Amrubizin | In Japan für NSLC und SCLC zugelassen. Aktiver Metabolit Amrubicinol. Im Tierversuch geringe Kardiotoxizität. | |||
| Nebenwirkungen | Herz: Dexrazoxan, Cyrdanax® | Risikofaktoren | ||
Teil von |
Chemotherapeutika | Chemotherapie von Tumorerkrankungen | Therapie von Tumorerkrankungen | Onkologie |
| Quellen | ||||
Impressum Zuletzt geändert am 08.05.2016 21:52