zurück Home Cross-Beam-Profil, Querverteilung
allgemeines Ein Therapiestrahl sollte das Bestrahlungsfeld möglichst gleichmäßig bestrahlen. Um dies zu kontrollieren, wird die relative Dosis quer zum Strahl gemessen.
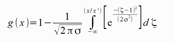
Formel
g(x)Dosis als Funktion des Abstandes zum Zentralstrahl
x' = halber Strahldurchmesser, Abstand zum Randstrahl
s = empirische Größe
z = X / X'
X = off-axis distance, Abstandes zum Zentralstrahl
z = (x / X' - 1) * sqrt(2 s)
Photonen 8MV Crossplane Photonen
Randabfall Randabfall
Bildquelle: Gscheidlen F M, Schittenhelm R: Der Halbschatten in der Kobalt-Fernbestrahlung. Strahlentherapie 1960;1960:621-625
Ursachen für den unscharfen Randabfall
 Randabfall
Nach E. Walter, Strahlenforschung und Strahlenbehandlung, Bd. 2, 1960
Messung Beispiel einer Messung mit Mephisto mcc unter Verwendung eines PTW 31016-Detektors in 10cm Wassertiefe, SSD 90cm an einen Onkor mit 6MV.
Cross-Beam-Messung
Folgendes ist erkennbar:
  • Die Flatness ist suboptimal.
  • Rechts vom Zentrastrahl ist die Dosisleistung höher als links.
  • Das Zentrum fällt etwas ab.
  • Am Feldrand gibt es innerhalb des geometrischen Feldes eine "Schulter" mit nicht 100%iger Dosis und
  • außerhalb des geometrischen Feldes eine "Fuß" mit unerwünschter Restdosis.
  • Schulter und Fuß werden bei zunehmender Feldgröße absolut gesehen größer.
Quellen 1.) DIN 6800-2, 2008

Teil von

Strahlenmessung, Dosimetrie Strahlen - Physik Radioonkologie
blauer Punkt

Impressum                             Zuletzt geändert am 24.08.2021 1:05