| zurück Home | Absorption von Neutronen | ||||
| allgemeines | Die Absorption von Neutronen folgt anderen Gesetzen als die der Photonen. | ||||
| schnelle Neutronen | Schnelle Elektronen werden durch elastische Stöße gebremst. | ||||
| thermische Neutronen | Nach den Gesetzen des elastischen Stoßes wird bei der Kollision mit einem Proton mehr kinetische Energie übertragen, als bei einem schweren Atomkern. | Nach einigen Stößen haben die Neutronen thermische Energie:3/2 k T = 0,025eV. | |||
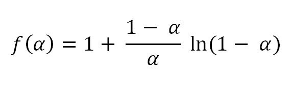
| Energiedekrement | Das energieunabhängige, mittlere logarithmische Energiedekrement f(α) ist ein Maß für das Bremsvermögen einer Substanz.
Es gilt: F(α) = ln (Eo/Ee): mittlerer logarithmischer Energieverlust pro Stoß Eo: Anfangsenergie Ee: Endenergie |
![]() α = 4 A/(A + 1)2 A: Atomgewicht | |||
| n: Zahl der Stoße, die notwendig sind, um ein Neutron abzubremsen. n = ln(Eo/Ee)/f(α) z.B. Wasserstoff: 18, Kohlenstoff 114, Uran 2300 (1) |
|||||
Quellen |
1.) Kühn W: Feuchtigkeitsbestimmungen durch elastische Streuung schneller Neutronen. Atompraxis 1959;5:133-137 2.) Balz G, et al.: Experimentelle Untersuchungen über die Absorption von Röntgenstrahlen in verschiedenen Geweben. Strahlentherapie 1955; 97: 382-388 3.) Konietzko N, et al.: Das Strahlenrisiko bei Röntgenuntersuchungen des Thorax. Pneumologie 2001; 55: 57-71 | ||||
Teil von |
Strahlenabsorption | Strahlenmessung, Dosimetrie | Strahlen - Physik | Röntgen | Radioonkologie |
Impressum Zuletzt geändert am 24.08.2021 15:20