| zurück Home | Plan B | ||
| Studie | multizentrische (100 Zentren in der BRD) Phase III - Studie | ||
West German Study Group Phase III PlanB Trial: First
Prospective Outcome Data for the 21-Gene Recurrence Score
Assay and Concordance of Prognostic Markers by Central and
Local Pathology Assessment
Oleg Gluz, Ulrike A. Nitz, Matthias Christgen, Ronald E. Kates, Steven Shak, Michael Clemens, Stefan Kraemer,
Bahriye Aktas, Sherko Kuemmel, Toralf Reimer, Manfred Kusche, Volker Heyl, Fatemeh Lorenz-Salehi,
Marianne Just, Daniel Hofmann, Tom Degenhardt, Cornelia Liedtke, Christer Svedman, Rachel Wuerstlein,
Hans H. Kreipe, and Nadia Harbeck
A B S T R A C T
Purpose
The 21-gene Recurrence Score (RS) assay is a validated prognostic/predictive tool in early hormone
receptor – positive breast cancer (BC); however, only a few prospective outcome results have been
available so far. In the phase III PlanB trial, RS was prospectively used to de fi ne a subset of patients
who received only endocrine therapy. We present 3-year outcome data and concordance analysis
(among biomarkers/RS).
Patients and Methods
Central tumor bank was established prospectively from PlanB (intermediate and high-risk, locally
human epidermal growth factor receptor 2 – negative BC). After an early amendment, HR-positive,
pN0-1 patients with RS # 11 were recommended to omit chemotherapy.
Results
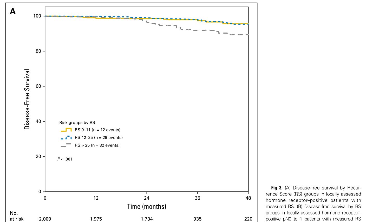
From 2009 to 2011, PlanB enrolled 3,198 patients with a median age of 56 years; 41.1% had node-
positive and 32.5% grade 3 disease. In 348 patients (15.3%), chemotherapy was omitted based on
RS # 11. After 35 months median follow-up, 3-year disease-free survival in patients with RS # 11
and endocrine therapy alone was 98% versus 92% and 98% in RS . 25 and RS 12 to 25 in
chemotherapy-treated patients, respectively. Nodal status, central and local grade, the Ki-67 protein
encoded by the MKI67 gene, estrogen receptor, progesterone receptor, tumor size, and RS were
univariate prognostic factors for disease-free survival; only nodal status, both central and local grade,
and RS were independent multivariate factors. Histologic grade was discordant between central and
local laboratories in 44%. RS was positively but moderately correlated with the Ki-67 protein
encoded by the MKI67 gene and grade and negatively correlated with progesterone receptor and
estrogen receptor.
Conclusion
In this prospective trial, patients with enhanced clinical risk and omitted chemotherapy on the basis
of RS # 11 had excellent 3-year survival. The substantial discordance observed between traditional
prognostic markers and RS emphasizes the need for standardized assessment and supports the
potential integration of standardized, well-validated genomic assays such as RS with clinicopathologic
prognostic factors for chemotherapy indication in early hormone receptor – positive BC.
J Clin Oncol 34:2341-2349. © 2016 DOI: 10.1200/JCO.2015.63.5383
![]() | |||
![]() |
|||
| T75C | Docetaxel 75mg / qm + Cyclophosphamid 600mg / qm | ||
| E90C | Epirubicin 90mg / qm + Cyclophosphamid 600mg / qm | ||
| Patienten | Rekrutierungsbeginn: II 2009 | ||
Teil von |
Mamma - Karzinom: Studien | Mamma - Karzinom | Gynäkologische Onkologie |
Quelle |
| ||
Impressum Zuletzt geändert am 26.01.2025 13:55